Vesiweb

Welcome to Vesiweb!

Chromatophore vesicle

With vesiweb you can control Vesimulus, the tool for stochastic molecular simulation of chromatophore vesicles from Rhodobacter sphaeroides. This web frontend allows you to edit the parameters for the simulation, i.e., the numbers of the corresponding proteins, the reaction rates and the initial number of metabolite particles. After the simulation is finished, you can analyze the outcome of your simulations.

If you visit Vesiweb for the first time, you might want to take a look at the help page, which should give you an impression of what you can do with Vesiweb and how to use it. You can also look out for (?)-signs for help.

Motivation

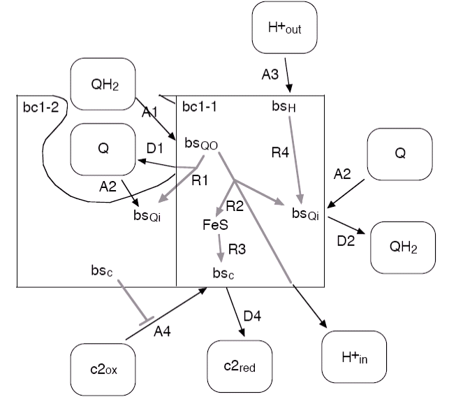
Reactions of the bc1

Systems biology is trying to understand cells - or at least parts thereof - in its entirety. Its aim is to build up a model of all processes on all levels of the organism (genome, proteome, metabolome, ...), to be able to understand and explain its function and its behavior.

In the future, computer based simulations will be able to simulate whole cells, but today one tries to find methods and algorithms to reliably describe such biological systems. As a tool to learn how to build molecular models, handle their complexity and to finally figure out their inner working, we here present a molecular model of the small chromatophore vesicles from the purple bacterium Rhodobacter sphaeroides. These small 50 nm sized vesicles are covered with the proteins of the bacteria's photosynthetic apparatus. The system to be simulated only contains some 100 proteins of 4 different types and two types of transporter molecules. Due to its simplicity and due to the fact that they can be probed very easily with light signal, they are a perfect system for cell biology and basic research on molecular systemic simulations.